Teniloxazine

Teniloxazine
Clinical data
Other namesY-8894
Routes of
administration
Oral
ATC code
  • None
Legal status
Legal status
  • In general: ℞ (Prescription only)
Identifiers
  • 2-{[2-(thiophen-2-ylmethyl)phenoxy]methyl}morpholine
CAS Number
PubChem CID
ChemSpider
UNII
ChEMBL
CompTox Dashboard (EPA)
Chemical and physical data
FormulaC16H19NO2S
Molar mass289.39 g·mol−1
3D model (JSmol)
  • O1CCNCC1COc2ccccc2Cc3sccc3
  • InChI=1S/C16H19NO2S/c1-2-6-16(19-12-14-11-17-7-8-18-14)13(4-1)10-15-5-3-9-20-15/h1-6,9,14,17H,7-8,10-12H2 checkY
  • Key:OILWWIVKIDXCIB-UHFFFAOYSA-N checkY
 ☒NcheckY (what is this?)  (verify)

Teniloxazine (Lucelan, Metatone), also known as sufoxazine and sulfoxazine, is a drug which is marketed in Japan.[1] Though initially investigated as a neuroprotective and nootropic agent for the treatment of cerebrovascular insufficiency in the 1980s,[2][3][4][5][6][7][8][9] it was ultimately developed and approved as an antidepressant instead.[10] It acts as a potent norepinephrine reuptake inhibitor, with fair selectivity over the serotonin and dopamine transporters, and also behaves as an antagonist of the 5-HT2A receptor.[7][10][11]

Synthesis

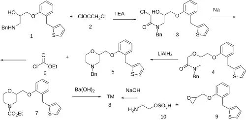
ChemDrug Synthesis:[12][13] Patents:[14][15] Cerebrovascular dementia usage:[16]

Amide formation between 1-(Benzylamino)-3-{2-[(thiophen-2-yl)methyl]phenoxy}propan-2-ol [62473-86-3] (1) and Chloroacetylchloride [79-04-9] (2) gives PC13682456 (3). In the presence of sodium metal closing of the ring morpholine occurs to give PC13682470 (4). Lactam reduction with lithium aluminium hydride affords 4-Benzyl-2-({2-[(thiophen-2-yl)methyl]phenoxy}methyl)morpholine [62473-77-2] (5). Treatment with Ethyl chloroformate [541-41-3] (6) gives the urethane and hence 4-Ethoxycarbonyl-2-[2-(2-thenyl)-phenoxymethyl]morpholine, PC21482171 (7). Hydrolysis of the carbamate in the presence of barium hydroxide completes the synthesis of Teniloxazine (8).

Alternately, base reaction between 1-[2-(2-thenyl)phenoxy]-2,3-epoxypropane [55506-46-2] (9) and 2-Aminoethyl hydrogen sulfate [926-39-6] (10) is another way to perform the synthesis.

See also

References

  1. ^ Ganellin CR, Triggle DJ, Macdonald F (1997). Dictionary of pharmacological agents. CRC Press. p. 1905. ISBN 978-0-412-46630-4. Retrieved 27 October 2011.
  2. ^ Anami K, Yamamoto Y, Setoguchi M (February 1985). "[Pharmacological studies on sufoxazine (Y-8894). (I) Effects on experimental amnesia in mice]". Nihon Yakurigaku Zasshi. Folia Pharmacologica Japonica (in Japanese). 85 (2): 71–7. doi:10.1254/fpj.85.71. PMID 2859238.
  3. ^ Izumi N, Yasuda H (October 1985). "[Pharmacological studies on sufoxazine (Y-8894). (II). Anti-anoxic effect]". Nihon Yakurigaku Zasshi. Folia Pharmacologica Japonica (in Japanese). 86 (4): 323–8. doi:10.1254/fpj.86.323. PMID 4085932.
  4. ^ Usa T, Morimoto Y, Fukuda T, Anami K, Setoguchi M, Maruyama Y (October 1986). "[Pharmacological studies on Y-8894. (III). Its effect on the abnormal electrocorticogram induced by destruction of the internal capsule]". Nihon Yakurigaku Zasshi. Folia Pharmacologica Japonica (in Japanese). 88 (4): 289–97. doi:10.1254/fpj.88.289. PMID 3491778.
  5. ^ Yasuda H, Izumi N, Nakanishi M, Anami K, Maruyama Y (November 1986). "[Pharmacological studies on Y-8894. (IV). Ameliorative effect on a cerebral energy metabolism disorder induced by KCN]". Nihon Yakurigaku Zasshi. Folia Pharmacologica Japonica (in Japanese). 88 (5): 363–7. doi:10.1254/fpj.88.363. PMID 3817653.
  6. ^ Anami K, Yamamoto Y, Setoguchi M, Maruyama Y (March 1987). "[Pharmacological studies on Y-8894. (V) Effect on learning and memory in intact and experimentally amnesic rats]". Nihon Yakurigaku Zasshi. Folia Pharmacologica Japonica (in Japanese). 89 (3): 145–53. doi:10.1254/fpj.89.145. PMID 2884174.
  7. ^ a b Setoguchi M, Takehara S, Sakamori M, Anami K, Maruyama Y (July 1987). "[Pharmacological studies on Y-8894 (VI). The effect on monoamine uptake and turnover in mouse brain]". Nihon Yakurigaku Zasshi. Folia Pharmacologica Japonica (in Japanese). 90 (1): 41–9. doi:10.1254/fpj.90.41. PMID 2443434.
  8. ^ Yasumatsu H, Yamamoto Y, Takamuku H, et al. (December 1987). "[Pharmacological studies on Y-8894. (VII). Effects on transient cerebral ischemia-induced amnesia in rats]". Nihon Yakurigaku Zasshi. Folia Pharmacologica Japonica (in Japanese). 90 (6): 321–30. doi:10.1254/fpj.90.321. PMID 3443414.
  9. ^ Anami K, Setoguchi M, Senoh H (August 1988). "[Pharmacological studies on Y-8894. (VIII). Effects on learning and memory in the radial maze task in mice]". Nihon Yakurigaku Zasshi. Folia Pharmacologica Japonica (in Japanese). 92 (2): 113–8. doi:10.1254/fpj.92.113. PMID 3224898.
  10. ^ a b Ogura C, Kishimoto A, Kunimoto N, et al. (May 1987). "Clinical pharmacology of a new antidepressant, Y-8894 in healthy young and elderly volunteers". British Journal of Clinical Pharmacology. 23 (5): 537–43. doi:10.1111/j.1365-2125.1987.tb03089.x. PMC 1386189. PMID 3593624.
  11. ^ JP 2008189616A, "Therapeutic Agent for Attention-Deficit Hyperactivity Disorder" 
  12. ^ Serradell, MN; Blancafort, P.; Castaer, J.; Y-8894. Drugs Fut 1981, 6, 7, 423.
  13. ^ Muro, Tomio; Yuki, Hiroshi; Kawakita, Takeshi; Chihara, Yasuaki; Yasumoto, Mitsuyoshi; Setoguchi, Shinro; Anami, Koretake; Setoguchi, Michihide (1986). "Syntheses and Pharmacological Activities of 2-(Substituted Phenoxymethyl) morpholine Derivatives". YAKUGAKU ZASSHI. 106 (9): 764–774. doi:10.1248/yakushi1947.106.9_764.
  14. ^ Tomio Muro, et al. U.S. patent 4,005,084 (1977 to Welfide Corp).
  15. ^ Muro Tomio, Chihara Yasuaki, et al. DE2530860, (1977 to Yoshitomi Pharmaceutical).
  16. ^ Michihide Setoguchi, Koretake Anami, & Hiroshi Yasuda, EP0193637 (1986 to Welfide Corp).