Diclofensine

Diclofensine
Clinical data
ATC code
  • None
Legal status
Legal status
  • In general: legal
Identifiers
  • 4-(3,4-dichlorophenyl)-7-methoxy-2-methyl-1,2,3,4-tetrahydroisoquinoline
CAS Number
PubChem CID
ChemSpider
UNII
ChEMBL
CompTox Dashboard (EPA)
Chemical and physical data
FormulaC17H17Cl2NO
Molar mass322.23 g·mol−1
3D model (JSmol)
  • CN1CC(C2=C(C1)C=C(C=C2)OC)C3=CC(=C(C=C3)Cl)Cl
  • InChI=1S/C17H17Cl2NO/c1-20-9-12-7-13(21-2)4-5-14(12)15(10-20)11-3-6-16(18)17(19)8-11/h3-8,15H,9-10H2,1-2H3 ☒N
  • Key:ZJDCGVDEEHWEIG-UHFFFAOYSA-N ☒N
 ☒NcheckY (what is this?)  (verify)

Diclofensine (Ro 8-4650) was developed by Hoffmann-La Roche in the 1970s[1] in the search for a new antidepressant. It was found that the (S)-isomer was responsible for activity.[2] Diclofensine is a stimulant drug which acts as a triple monoamine reuptake inhibitor,[3][4] primarily inhibiting the reuptake of dopamine[5] and norepinephrine,[6] with affinities (Ki) of 16.8 nM, 15.7 nM, and 51 nM for DAT, NET, and SERT (dopamine, norepinephrine and serotonin transporters), respectively.[7] It was found to be an effective antidepressant in human trials,[8][9][10] with relatively few side effects,[11] but was ultimately dropped from clinical development, possibly due to concerns about its abuse potential.[12][13]

Diclofensine is chemically a tetrahydroisoquinoline (THIQ) derivative, as is nomifensine.

Synthesis

Patents:[14][15] Also:[16]

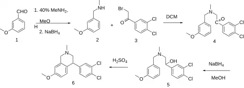
The condensation of m-anisaldehyde [591-31-1] (1) with methylamine gives N-methyl-3-methoxybenzenemethanimine [16928-30-6]. Reduction of this Schiff-base intermediate with sodium borohydride gives (3-methoxybenzyl)methylamine [41789-95-1] (2). Alkylation of this with 3,4-dichlorophenacylbromide [2632-10-2] (3) would give CID:59580342 (4). Reduction of the benzoyl ketone with sodium borohydride gives the alcohol [802051-24-7] (5). Acid catalyzed intramolecular cyclization then completes the synthesis of the 4-aryl-THIQ derivative, diclofensine (6).

See also

References

  1. ^ US Patent 3947456 A, Alfred Rheiner, "Substituted 4-Phenyl Isoquinolines", published 1976-03-30, assigned to Hoffman-La Roche Inc. 
  2. ^ Crossley R (1995). Chirality and the Biological Activity of Drugs. 2000 Corporate Blvd., N.W., Boca Raton, Florida 33431: CRC Press, Inc. p. 138. ISBN 978-0-8493-9140-8.{{cite book}}: CS1 maint: location (link)
  3. ^ Keller HH, Schaffner R, Carruba MO, Burkard WP, Pieri M, Bonetti EP, et al. (1982). "Diclofensine (Ro 8-4650)--a potent inhibitor of monoamine uptake: biochemical and behavioural effects in comparison with nomifensine". Advances in Biochemical Psychopharmacology. 31: 249–63. PMID 6979165.
  4. ^ Omer LM (July 1982). "Pilot trials with diclofensine, a new psychoactive drug in depressed patients". International Journal of Clinical Pharmacology, Therapy, and Toxicology. 20 (7): 320–6. PMID 7107085.
  5. ^ Di Renzo G, Amoroso S, Taglialatela M, Canzoniero LM, Maida P, Lombardi G, Annunziato L (1988). "Pure uptake blockers of dopamine can reduce prolactin secretion: studies with diclofensine". Life Sciences. 42 (21): 2161–9. doi:10.1016/0024-3205(88)90131-2. PMID 2968488.
  6. ^ Gasić S, Korn A, Eichler HG (May 1986). "Effect of diclofensine, a novel antidepressant, on peripheral adrenergic function". Clinical Pharmacology and Therapeutics. 39 (5): 582–5. doi:10.1038/clpt.1986.100. PMID 3698467. S2CID 34977195.
  7. ^ Andersen PH (August 1989). "The dopamine inhibitor GBR 12909: selectivity and molecular mechanism of action". European Journal of Pharmacology. 166 (3): 493–504. doi:10.1016/0014-2999(89)90363-4. PMID 2530094.
  8. ^ Cherpillod C, Omer LM (1981). "A controlled trial with diclofensine, a new psychoactive drug, in the treatment of depression". The Journal of International Medical Research. 9 (5): 324–9. doi:10.1177/030006058100900505. PMID 7028532. S2CID 41618656.
  9. ^ Omer OL, Díaz-Olivera M, Ismail S (March 1984). "Therapeutic efficacy and tolerance of diclofensine in psychoreactive depression--a double-blind comparison with placebo". Methods and Findings in Experimental and Clinical Pharmacology. 6 (3): 147–51. PMID 6379345.
  10. ^ Funke HJ, Holtmann W, Ismail S, Jansen W, Leonhardt KF, Muth H, et al. (May 1986). "Double-blind comparison of diclofensine with nomifensine in outpatients with dysphoric mood". Pharmacopsychiatry. 19 (3): 120–3. doi:10.1055/s-2007-1017168. PMID 3725890. S2CID 36360683.
  11. ^ Culig J, Ehsanullah RS, Hallett C, Iliopoulou A, Matheson I, Turner P (May 1983). "A clinical pharmacological comparison of diclofensine (Ro 8-4650) with nomifensine and amitriptyline in normal human volunteers". British Journal of Clinical Pharmacology. 15 (5): 537–43. doi:10.1111/j.1365-2125.1983.tb02087.x. PMC 1427714. PMID 6860528.
  12. ^ Lamb RJ, Griffiths RR (1990). "Self-administration in baboons and the discriminative stimulus effects in rats of bupropion, nomifensine, diclofensine and imipramine". Psychopharmacology. 102 (2): 183–90. doi:10.1007/bf02245920. PMID 2125734. S2CID 25043692.
  13. ^ Nakachi N, Kiuchi Y, Inagaki M, Inazu M, Yamazaki Y, Oguchi K (August 1995). "Effects of various dopamine uptake inhibitors on striatal extracellular dopamine levels and behaviours in rats". European Journal of Pharmacology. 281 (2): 195–203. doi:10.1016/0014-2999(95)00246-h. PMID 7589207.
  14. ^ Rheiner Alfred Jr Dr, CH 538477  (1973 to Hoffmann La Roche).
  15. ^ Alfred Rheiner, U.S. patent 3,947,456 (1976 to Hoffman-La Roche Inc.).
  16. ^ Shuang Liu, Bruce F. Molino, Kassoum Nacro, WO 2010132442  (2010 to Albany Molecular Research, Inc.). Page column 32.