William B. Tolman

William B. Tolman
Tolman speaking at the University of St. Thomas in 2025
Born
William Baker Tolman

(1961-05-20) May 20, 1961
NationalityAmerican
Alma materUniversity of California, Berkeley Ph.D. (1987)
Wesleyan University B.A. (1983)
Known forBioinorganic chemistry of copper and dioxygen
AwardsACS Award for Distinguished Service in the Advancement of Inorganic Chemistry (2017)
Scientific career
FieldsBioinorganic chemistry
InstitutionsUniversity of St. Thomas (2022 - Current)

Washington University in St. Louis (2018-2022)
University of Minnesota (1990-2018)

Massachusetts Institute of Technology (1987-1990)
ThesisPhotochemistry and ligand substitution chemistry of (fulvalene) diruthenium (tetracarbonyl) (1987)
Doctoral advisorPeter C. Vollhardt
Other academic advisorsAlan R. Cutler, Stephen J. Lippard
Websitesites.wustl.edu/tolmangrouplaboratory/

William B. Tolman (born May 20, 1961, in Cleveland, Ohio) an American inorganic chemist focusing on the synthesis and characterization of model bioinorganic systems, and organometallic approaches towards polymer chemistry. He has served as Editor in Chief of the ACS journal Inorganic Chemistry,[1] and as a Senior Investigator at the NSF Center for Sustainable Polymers.[2] Tolman is a Fellow of the American Association for the Advancement of Science and the American Chemical Society.[3]

Early life and education

Tolman was born on May 20, 1961, in Cleveland, but grew up in Chelmsford, Massachusetts.[4][3] He received his B.A. in chemistry from Wesleyan University in 1983, where he conducted organometallic chemistry research with Alan R. Cutler.[3][5] With Cutler, Tolman studied the bimetallic activation of coordinated ligands of molybdenum cyclopentadienyl complexes.[6]

Tolman then moved on to graduate studies at the University of California, Berkeley, where he worked in the laboratory of Prof. K. Peter C. Vollhardt as a W. R. Grace Graduate Fellow.[4][7] In Vollhardt's laboratory, Tolman studied photochemistry[8] and ligand substitution reactions of bimetallic coordination complexes with the fulvalene ligand.[9][10] Tolman graduated with a Ph.D. in chemistry in 1987.[3]

He then conducted his postdoc in the laboratory of Prof. Stephen J. Lippard at the Massachusetts Institute of Technology with the support of a fellowship from the American Cancer Society. With Prof. Lippard, Tolman synthesized novel ligands for coordination complexes that model the active sites of metalloproteins.[11] He then synthesized complexes that model nonheme diiron proteins, and studied their reactivity with O2.[12][13]

Career

Tolman began his independent career in 1990, as an assistant professor in the Department of Chemistry at the University of Minnesota, Twin Cities (UMN).[3] He was appointed a Distinguished McKnight University Professor in 2000.[14] He previously served as the Chair of the Department of Chemistry at UMN, from 2009 to 2016.[3][15] In 2018, Tolman moved with his research group to Washington University in St. Louis.[16] Generally, Tolman's research group works on the synthesis of bioinorganic coordination complexes that model the active sites of metalloproteins, as well as the synthesis of organometallic complexes for the polymerization of cyclic esters.[3]

In the summer of 2022, Tolman became the dean of the College of Arts and Sciences at the University of St. Thomas, in St. Paul, Minnesota.[17]

Copper-oxygen adducts

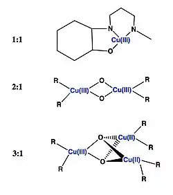
Tolman's work in the bioinorganic field focuses on Cu-O adducts, specifically copper proteins whose diverse, biological functions include: O2 transport, aromatic ring oxidations, biogenesis of hormones.[18] His work studies the potential of 1:1 Cu/O2 adducts as catalytic species, which have been known as transient intermediates for more commonly studied 2:1 and even 3:1 Cu/O2 molecules. These complexes, while kinetically favored in formation are thermodynamically unstable due to negative entropy values, thus making them more difficult to isolate.[18] Although, increasing ligand sizes on these 1:1 adducts did correlate with slower reaction rate constants; advantageous for isolating and studying these complexes.[1]

This figure shows copper and oxygen bonded at differing ratios.

Furthermore, his work on high and mixed valent copper species including [CuOH]+2 and its conjugate base, [CuO]+ is also very notable. His work with [CuOH]+2 reveals a high reactivity with C-H and O-H bonds as compared to its conjugate acid pair.[1] This is of importance when trying to replicate biological mechanisms, such as copper-catalyzed oxidation in vitro.

His research has greatly contributed to the discovery and characterization of new biomimetic species. It is his goal to not only identify these compounds, but to comprehensively understand the intermediates and mechanisms with which they play crucial roles in facilitating. In the case of Cu/O2 adducts, realizing their biological role and function in copper containing enzymes can give rise to new insights on their biomimetic properties.[1]

Additionally, his lab is searching for alternative, synthetic oxidative catalysis. This includes designing biochemically inspired synthetic catalysts as well as trying O2 as a candidate for controlled, in vitro oxidation. Due to high abundances and relatively strong stabilizing capabilities within biological reactions, iron and copper enzymes inspire biomimetic synthetic catalysts. Although these reactions perform with high accuracy and selectivity within the body, many challenges arise when working with O2 in vitro because of the undesired and potentially harmful side products that can be generated.[19]

Organometallic polymerization catalysts

Polymerization of lactide to polylactic acid with a Zn(II) alkoxide catalyst.[20]

Tolman's work on organometallic polymerization catalysis focuses on the development of new metal catalysts for the more efficient polymerization of lactones into biodegradable polymers. An example of this work is the use of Zn(II) or Fe(III) alkoxide catalysts, which can polymerize lactide (LA) into polylactic acid (PLA).[21][20] PLA is of great interest because it is both biodegradable and a renewable resource.[21][22] While there are many well known catalysts available to synthesize PLA, not much is known about their mechanism of catalysis - this proves problematic in the design of new and more efficient catalysts. Thus, Tolman's group is pursuing the synthesis and characterization of less structurally complex catalysts.[23] His research has showed that catalysts with lower coordination numbers have higher polymerization activities.[20] His Zn(II) alkoxide catalyst, for example, produced PLA with a high molecular weight at a relatively fast rate.

Role in Gianluigi Veglia sexual harassment investigation

As UMN Chemistry Department Chair in 2017, Tolman was one of four administrators notified about, and provided the results of, an investigation into allegations involving UMN biochemistry and chemistry professor Gianluigi Veglia.[24] Tolman left UMN the following year for a position in the Arts and Sciences at Washington University in St. Louis.[16]

Awards

Tolman is the recipient of many awards for his research, including an ACS Award for Distinguished Service in the Advancement of Inorganic Chemistry in 2017,[25][26] the Charles E. Bowers Teaching Award from the University of Minnesota in 2012,[27] a Alexander von Humboldt Foundation Research Award for 2004–2005,[3] a Buck-Whitney Medal from the ACS Eastern New York Section in 2001,[3] a Camille & Henry Dreyfus Teacher–Scholar Award in 1999,[28] and a Searle Scholars Award in 1992.[29]

He was elected a Fellow of the American Chemical Society in 2010,[30] and a Fellow of the American Association for the Advancement of Science in 2006.[31]

References

  1. ^ a b c d Elwell, Courtney E.; Gagnon, Nicole L.; Neisen, Benjamin D.; Dhar, Debanjan; Spaeth, Andrew D.; Yee, Gereon M.; Tolman, William B. (2017-02-08). "Copper–Oxygen Complexes Revisited: Structures, Spectroscopy, and Reactivity". Chemical Reviews. 117 (3): 2059–2107. doi:10.1021/acs.chemrev.6b00636. ISSN 0009-2665. PMC 5963733. PMID 28103018.
  2. ^ "William Tolman". NSF Center for Sustainable Polymers (CSP).
  3. ^ a b c d e f g h i "Editor-in-Chief". pubs.acs.org. Retrieved 2021-06-03.
  4. ^ a b Tolman, William B. (1997). "Making and Breaking the Dioxygen O−O Bond: New Insights from Studies of Synthetic Copper Complexes". Accounts of Chemical Research. 30 (6): 227–237. doi:10.1021/ar960052m.
  5. ^ "Bill Tolman". www.aiche.org. 2020-02-18. Retrieved 2021-06-03.
  6. ^ Markham, James; Tolman, William; Menard, Kevin; Cutler, Alan (1985-10-08). "Bimetallic activation of coordinated ligands. Reactions of the Lewis acid (η-C5H5)(CO)3Mo+ PF6− with organo-iron and -molybdenum η1-methoxymethyl and ethyl complexes". Journal of Organometallic Chemistry. 294 (1): 45–58. doi:10.1016/0022-328X(85)88052-9. ISSN 0022-328X.
  7. ^ "Tolman Group Laboratory". www1.chem.umn.edu. Retrieved 2017-06-06.
  8. ^ Boese, Roland; Cammack, J. Kevin; Matzger, Adam J.; Pflug, Kai; Tolman, William B.; Vollhardt, K. Peter C.; Weidman, Timothy W. (1997). "Photochemistry of (Fulvalene)tetracarbonyldiruthenium and Its Derivatives: Efficient Light Energy Storage Devices". Journal of the American Chemical Society. 119 (29): 6757–6773. Bibcode:1997JAChS.119.6757B. doi:10.1021/ja9707062. ISSN 0002-7863.
  9. ^ Boese, Roland; Tolman, William B.; Vollhardt, K. Peter C. (1986). "Carbonyl substitution and ring slippage upon reaction of trialkylphosphines with (fulvalene)diruthenium tetracarbonyl. X-ray structural analysis of (.eta.0:.eta.4-C10H8)Ru(PMe3)2CO and fluxional behavior of (.eta.5:.eta.5-C10H8)Ru2(CO)3L (L = phosphine)". Organometallics. 5 (3): 582–584. doi:10.1021/om00134a029. ISSN 0276-7333.
  10. ^ Huffman, Mark A.; Newman, David A.; Tilset, Mats; Tolman, William B.; Vollhardt, K. Peter C. (1986). "Designed syntheses of heterobimetallic fulvalene complexes". Organometallics. 5 (9): 1926–1928. doi:10.1021/om00140a038. ISSN 0276-7333.
  11. ^ Tolman, William B.; Rardin, R. Lynn; Lippard, Stephen J. (1989). "A dinucleating hexaimidazole ligand and its dicopper(II) methanol inclusion complex". Journal of the American Chemical Society. 111 (12): 4532–4533. Bibcode:1989JAChS.111.4532T. doi:10.1021/ja00194a077. ISSN 0002-7863.
  12. ^ Tolman, William B.; Bino, Avi; Lippard, Stephen J. (1989). "Self assembly and dioxygen reactivity of an asymmetric, triply bridged diiron(II) complex with imidazole ligands and an open coordination site". Journal of the American Chemical Society. 111 (22): 8522–8523. Bibcode:1989JAChS.111.8522T. doi:10.1021/ja00204a037. ISSN 0002-7863.
  13. ^ Tolman, William B.; Liu, Shuncheng; Bentsen, James G.; Lippard, Stephen J. (1991). "Models of the reduced forms of polyiron-oxo proteins: an asymmetric, triply carboxylate bridged diiron(II) complex and its reaction with dioxygen". Journal of the American Chemical Society. 113 (1): 152–164. Bibcode:1991JAChS.113..152T. doi:10.1021/ja00001a023. ISSN 0002-7863.
  14. ^ "Honorary professorships | College | College of Science and Engineering". cse.umn.edu. Retrieved 2021-06-03.
  15. ^ "Tolman named chair of Department of Chemistry | College | College of Science and Engineering". cse.umn.edu. Retrieved 2021-06-03.
  16. ^ a b Gauen, Claire (2018-01-10). "Spring 2018 New Faculty". Washington University in St. Louis - Arts & Sciences. Retrieved 2021-06-03.
  17. ^ Ybarra, Andy (2022-04-07). "St. Thomas Appoints Renowned Chemistry Scholar to Lead College of Arts and Sciences". Newsroom | University of St. Thomas. Retrieved 2022-10-03.
  18. ^ a b Lewis, Elizabeth A.; Tolman, William B. (2004). "Reactivity of Dioxygen−Copper Systems". Chemical Reviews. 104 (2): 1047–1076. doi:10.1021/cr020633r. PMID 14871149.
  19. ^ Que, Lawrence; Tolman, William B. (2008-09-18). "Biologically inspired oxidation catalysis". Nature. 455 (7211): 333–340. Bibcode:2008Natur.455..333Q. doi:10.1038/nature07371. ISSN 0028-0836. PMID 18800132. S2CID 4427860.
  20. ^ a b c Williams, Charlotte K.; Breyfogle, Laurie E.; Choi, Sun Kyung; Nam, Wonwoo; Young, Victor G.; Hillmyer, Marc A.; Tolman, William B. (2003). "A Highly Active Zinc Catalyst for the Controlled Polymerization of Lactide". Journal of the American Chemical Society. 125 (37): 11350–11359. Bibcode:2003JAChS.12511350W. doi:10.1021/ja0359512. PMID 16220958. S2CID 8507612.
  21. ^ a b O'Keefe, Brendan J.; Breyfogle, Laurie E.; Hillmyer, Marc A.; Tolman, William B. (2002). "Mechanistic Comparison of Cyclic Ester Polymerizations by Novel Iron(III)−Alkoxide Complexes: Single vs Multiple Site Catalysis". Journal of the American Chemical Society. 124 (16): 4384–4393. Bibcode:2002JAChS.124.4384O. doi:10.1021/ja012689t. PMID 11960467.
  22. ^ Kuehner, Marcel. "Bioplastics - Study: Market, Analysis, Trends | Ceresana". www.ceresana.com. Retrieved 2017-06-06.
  23. ^ O'Keefe, Brendan J.; Hillmyer, Marc A.; Tolman, William B. (2001-01-01). "Polymerization of lactide and related cyclic esters by discrete metal complexes". Journal of the Chemical Society, Dalton Transactions (15): 2215–2224. doi:10.1039/B104197P. ISSN 1364-5447.
  24. ^ Widener, Andrea; Wang, Linda (March 15, 2021). "Gianluigi Veglia sexually harassed his students and lab staff but wasn't fired". cen.acs.org. Chemical & Engineering News. Archived from the original on 2021-04-29. Retrieved 2021-06-06.
  25. ^ "ACS Award for Distinguished Service in the Advancement of lnorganic Chemistry". American Chemical Society. Retrieved 2021-06-03.
  26. ^ Wang, Linda (January 2, 2017). "ACS Award for Distinguished Service in the Advancement of Inorganic Chemistry: William B. Tolman". Archived from the original on 2020-10-23. Retrieved 2021-06-03.
  27. ^ "Honors and Awards - 2012 | College | College of Science and Engineering". cse.umn.edu. Retrieved 2021-06-03.
  28. ^ "Camille Dreyfus Teacher-Scholar Awards Program" (PDF).
  29. ^ "William B. Tolman". Searle Scholars Program. Retrieved 2021-06-03.
  30. ^ "2010 ACS Fellows". American Chemical Society. Retrieved 2021-06-03.
  31. ^ "AAAS 2006 Annual Report" (PDF).