Rolziracetam

Rolziracetam
Clinical data
Other names2,6,7,8-tetrahydro-1H-pyrrolizine-3,5-dione, CI 911 & Lukes-Šorm dilactam.
Routes of
administration
Oral
ATC code
  • none
Legal status
Legal status
  • AU: S4 (Prescription only)
  • US: Unscheduled
Identifiers
  • dihydro-1H-pyrrolizine-3,5(2H,6H)-dione
CAS Number
PubChem CID
ChemSpider
UNII
ChEMBL
CompTox Dashboard (EPA)
Chemical and physical data
FormulaC7H9N2O2
Molar mass153.161 g·mol−1
3D model (JSmol)
  • O=C2N1C(=O)CCC1CC2
  • InChI=1S/C7H9NO2/c9-6-3-1-5-2-4-7(10)8(5)6/h5H,1-4H2 checkY
  • Key:IEZDOKQWPWZVQF-UHFFFAOYSA-N checkY
 ☒NcheckY (what is this?)  (verify)

Rolziracetam is a nootropic drug of the racetam family.

Rolziracetam was found to improve performance on a delayed-response task in aged rhesus monkeys. It has a wide margin of safety in animals and has been evaluated for use in cognitively impaired human subjects.[1]

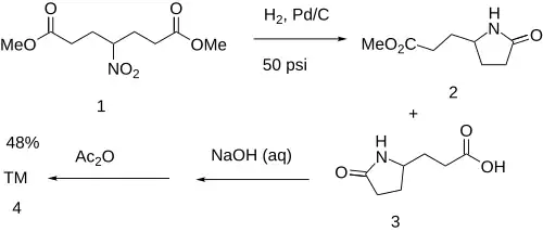
Synthesis

The nitro group of dimethyl 4-nitropimelate (1) is reduced by palladium-catalysed hydrogenation to an amino group, which cyclises to give a mixture of the lactam ester (2) and its corresponding acid (3). The mixture is hydrolysed using sodium hydroxide to convert all of the ester to the acid, and this material is cyclised to give rolziracetam using acetic anhydride.[2][3]

See also

References

  1. ^ Butler DE, Leonard JD, Caprathe BW, L'Italien YJ, Pavia MR, Hershenson FM, et al. (March 1987). "Amnesia-reversal activity of a series of cyclic imides". Journal of Medicinal Chemistry. 30 (3): 498–503. doi:10.1021/jm00386a010. PMID 3820221.
  2. ^ Leonard NJ, Hruda LR, Long FW (March 1947). "The synthesis of pyrrolizidines". Journal of the American Chemical Society. 69 (3): 690–692. doi:10.1021/ja01195a067. PMID 20289459.
  3. ^ US patent 4663464, Hoekstra MS, "Process for the preparation of dihydro-1H-pyrrolizine-3,5-(2H,6H)-dione", issued 1987-05-05, assigned to Warner Lambert Co LLC