Dimefadane

Dimefadane
Clinical data
Other namesSK&F 1340, SKF 1340, NIH 7661,
Identifiers
  • N,N-dimethyl-3-phenyl-2,3-dihydro-1H-inden-1-amine
CAS Number
PubChem CID
ChemSpider
UNII
KEGG
ChEBI
ChEMBL
CompTox Dashboard (EPA)
Chemical and physical data
FormulaC17H19N
Molar mass237.346 g·mol−1
3D model (JSmol)
  • CN(C)C1CC(C2=CC=CC=C12)C3=CC=CC=C3
  • InChI=1S/C17H19N/c1-18(2)17-12-16(13-8-4-3-5-9-13)14-10-6-7-11-15(14)17/h3-11,16-17H,12H2,1-2H3
  • Key:GAVBHVRHVQMWEI-UHFFFAOYSA-N

Dimefadane is an analgesic agent with about the same activity as codeine, but without any of the GI side effects. Although it does not adhere to the classical morphine rule (structure includes a tertiary amine, phenyl ring and quaternary carbon), it is not known if this is opioidergic. It has structure activity relationships that can be compared to tametraline. Klaus Bøgesø used dimefadane as the harbinger to Indatraline.

Synthesis

Synthesis:[1][2] Cyclic Normethadone derivative:[3] Patents:[4]

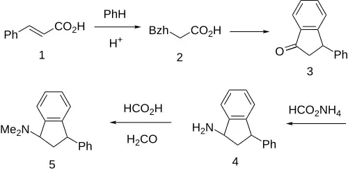
Dimefadane synthesis
Dimefadane synthesis

The Friedel-Crafts reaction between cinnamic acid [140-10-3] (1) and benzene in the presence of a Lewis acid catalyst gives 3,3-diphenylpropionic acid [606-83-7] (2). The cyclization of this gives 3-phenyl-1-indanone [16618-72-7] (3). Heating with ammonium formate (Leuckart reaction) gives 3-phenyl-1-indanamine, PC22346445 (4). Although reduction of the oxime would also work, perhaps there is differences in the proficiency between the different methods. Heating with formaldehyde and formic acid (Eschweiler-Clark reaction) then produces dimefadane (5).

References

  1. ^ Barltrop JA, Acheson RM, Philpott PG, MacPhee KE, Hunt JS (1956). "570. Compounds of potential pharmacological interest. Part IV. Aryl and alkyl derivatives of 1-aminoindane". Journal of the Chemical Society (Resumed): 2928. doi:10.1039/JR9560002928.
  2. ^ Levshina KV, Kolodkina I (1964). "БИС (БЕТА-ХЛОРЭТИЛ) АМИНЫ БИЦИКЛИЧЕСКИХ СОЕДИНЕНИЙ. 7. ПРОИЗВОДНЫЕ ИНДАНА". Zhurnal Obshchei Khimii. 34 (10): 3414.
  3. ^ Philpott PG, Barltrop JA (1956). "139. Compounds of potential pharmacological interest. Part 1. Acyl derivatives of 1-amino-3-phenylindane". Journal of the Chemical Society (Resumed): 691. doi:10.1039/jr9560000691.
  4. ^ Dr Helmer Richter, Dr Martin Schenck, DE951628 & DE946058 (1953 & 1956 both to Schering Ag).